Sciweavers

PLDI
2010
ACM
15 years 5 months ago
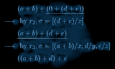
Mint: Java multi-stage programming using weak separability
Multi-stage programming (MSP) provides a disciplined approach to run-time code generation. In the purely functional setting, it has been shown how MSP can be used to reduce the ov...
Edwin Westbrook, Mathias Ricken, Jun Inoue, Yilong...
141
Voted

Publication
232views
16 years 10 months ago
Multi-stage Programming:  Its Theory and Applications
MetaML is a statically typed functional programming language with special support for program generation. In addition to providing the standard features of contemporary programming...
Walid Taha
158
Voted
GTTSE
2007
Springer
16 years 10 months ago
A Gentle Introduction to Multi-stage Programming-Part II
As domain-specific languages (DSLs) permeate into mainstream software engineering, there is a need for economic methods for implementing languages. Following up on a paper with a s...
Walid Taha
148
Voted

Publication
226views
16 years 10 months ago
A Gentle Introduction to Multi-stage Programming
Multi-stage programming (MSP) is a paradigm for developing generic software that does not pay a runtime penalty for this generality. This is achieved through concise, carefully-des...
Walid Taha
237
Voted

Lab
737views
17 years 10 days ago
Resource Aware Programming (RAP)
We are interested in studying and developing programming languages techniques such as multi-stage programming, reactive programming, and indexed types and in showing how they can b...

11
posts
with
5433
views
1337profile views Browse  My Posts »
CherifSalamaStudent, PhD
Rice University
CherifSalama
Cherif Salama was born in Cairo, Egypt in 1979. In 2001, he obtained his B.Sc. degree in Electrical Engineering from the Computer and Systems Engineering Department of Ain Shams Un...